Corona virüs vakalarının yüzde 80’i evlerde ortaya çıktı
18.08.2020 11:05
Çin’de yapılan yeni bir araştırmada, insanların yüzde 80’inin yeni tip corona virüse (Covid-19) evlerindeyken yakalandığı belirtildi. Bu nedenle uzmanlar, evde alınacak hijyen ve sosyal mesafe önlemlerinin salgının durdurulmasında dışarıda alınacak tedbirlerden daha etkili olabileceğini belirtti.

EN YÜKSEK RİSK EVDE
200’ün üzerinde ülkede ve bölgede görülen yeni tip corona virüs pandemisi nedeniyle vaka sayısı 22 milyonu, ölü sayısı ise 770 bini aştı. Bununla birlikte yapılan yeni bir araştırmada, Covid-19 riskinin en yüksek riskin, sanıldığı gibi toplu taşıma araçları ya eğlence mekanlarında değil, bizzat insanların aileleriyle birlikte yaşadığı evlerde olduğu ortaya çıktı.

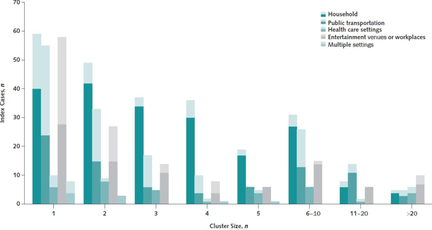
Çin’de yapılan son çalışmada, virüsün bulaşma riskinin evde yüzde 10,3, hastanelerde yüzde 1 ve toplu taşımada yüzde 0,1 olduğu aktarıldı.

Haijing’deki Southeast Üniversitesi ve Hong Kong Üniversitesi tarafından yapılan ortak çalışmada bilim insanları, pandeminin ilk merkez üssü olan Hubey Eyaleti hariç, ülkedeki 320 noktada meydana gelen salgınların haritasını çıkardı. Ardından "salgınların rapor edildiği kapalı alanların ana özelliklerini ve bunlarla ilişkili iç mekan çevre sorunlarını” gözden geçirdiler.

Çalışmada 318 noktada corona virüs salgının kapalı alanda, yalnızca 2 noktada ise açık havada başladığı görüldü. Buna göre vakaların birçoğu kişiler evlerindeyken açığa çıktı.

Filtrelenen veriler, 120 şehirde bin 245 doğrulanmış virüs vakasını kapsayan 318 salgınını ortaya koydu. Salgınların yeri ise beş kategoriye ayrıldı: ev, toplu taşıma, hastane, eğlence ve diğer.

EV SALGINLARININ ÇOĞU 3 -5 VAKA İLE SONUÇLANDI
Salgınların yaklaşık yüzde 80'i ev ortamında, yüzde 34'ü ise toplu taşıma araçlarında meydana geldi. Bununla birlikte, ev salgınlarının çoğu üç ile beş vakayla sonuçlandı.

COVİD-19 ÖNLEMLERİNE EVDE DE DEVAM EDİLMELİ
Bununla birlikte, araştırmacılar, sadece iki vakayı içeren bir dış ortamda meydana gelen bir salgını bulabildiler.
Araştırmacılar, çalışmanın özetinde "Üç veya daha fazla vakanın tespit edildiği tüm salgınlar, bir iç mekan ortamında meydana geldi, Bu da iç mekanın paylaşılmasının büyük bir Covid-19 enfeksiyon riski olduğunu doğruluyor" ifadelerini kullandı.
Bilim insanları bu nedenle, corona virüsten korunmak için insanlardan evlerinde hijyen sağlamasını, sosyal mesafe ve maske takma önlemlerine uymasını istedi.